來源:練達化工發布日期:2018-12-06閱讀:-
(1) 工藝流程:

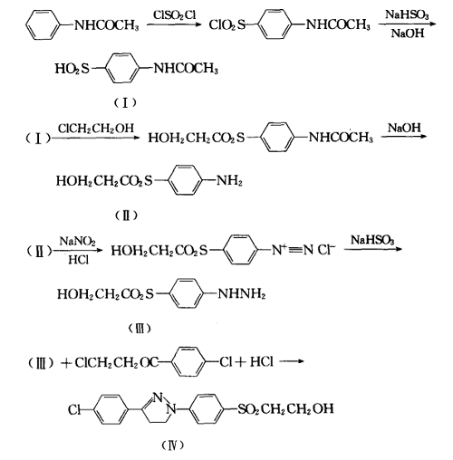
(2) 反應式:


(3)操作:
①對乙酰胺基苯磺酰氯的合成:在反應釜中加入256kg氯磺酸,攪拌,再加人135kg乙酰苯胺,控制反應溫度在15C以下,加料完畢,逐漸升溫至60'C ,保溫反應2h,然后將反應物慢慢加入冰水中(控制在10C以下),過濾。用冰水漂洗至中性,備用。
②對乙酰胺基苯亞磺酸的合成:將亞硫酸氫鈉溶液用氫氧化鈉中和至pH=7~7.5,加冰降溫至30'C以下,然后滴加對乙酰胺基苯磺酰氯進行水解,同時加堿,控制反應液的pH=7. 5~8,在25~30C下反應1h,將上層清液吸人酸析釜中,用硫酸酸化,過濾,得到對乙酰胺基苯亞磺酸。
③對乙酰胺基苯基- β -羥乙基砜的合成:在反應釜中先加人用純堿中和至pH=7. 5~8的32%的氯乙醇,然后再加人對乙酰胺基苯亞磺酸,攪拌反應0. 5h,用堿中和至pH=7,加人硫酸鈉,于3h內慢慢升溫至98~100C,調節pH=7. 4~7.7,保溫反應到游離磺酸含量小于5%。然后冷卻至30°C,過濾,用稀硫酸洗滌,用水洗滌,得到對乙酰胺基苯基- β -羥乙基砜。
④對肼基苯基-β-羥乙基砜的合成:將得到的對乙酰胺基苯基-β ~羥乙基砜水解為對氨基苯基- β -羥乙基砜。然后加人鹽酸,加冰冷卻,在0~5C加人亞硝酸鈉進行重氮化反應。重氮化完畢,再向重氮液中加人亞硫酸鈉溶液,在0~8C攪拌反應1h。加入濃硫酸,于90~95"C下攪拌4h,將物料冷卻后調節pH=8~9,過濾,得到對肼基苯基β-羥乙基砜。
⑤縮合環化:在反應釜中加人乙醇對氯- β -氯代苯丙酮、濃鹽酸和對肼基苯基-β-羥乙基砜,攪拌,加熱回流,縮合閉環,反應完畢,冷卻過濾,在60C減壓干燥,得到1-(對- β羥乙基砜基苯基)-3-(對氯苯基)-吡唑啉。
⑥1 -(對乙烯砜基苯基)- 3 -(對氯苯基)-吡唑啉的合成:將1 -(對- β-羥乙基砜基苯基)- 3 -(對氯苯基)-吡唑啉加人反應釜中,加冰冷卻,在攪拌下滴加濃硫酸,加畢,在10C繼續攪拌,加入氯化鉀溶液,將生成的磺酸酯鉀抽濾,再將濾餅用丙酮和水的混合液溶解,攪拌,加熱至沸。加人2mol/L的氫氧化鈉,冷卻,在50'C過濾,在60C減壓干燥。
⑦加成反應:將1 -(對乙烯砜基苯基)- 3 -(對氯苯基)-吡唑啉加至N,N-二甲基- 2 -丙醇中,在攪拌下加人氫氧化鈉溶液,在60C反應1h,然后加人異丙醇,冷卻至5C,攪拌反應lh,過濾,用異丙醇洗滌得到加成產物。
⑧季銨化將加成物懸浮于40份水中,在攪拌下滴加硫酸二甲酯,得到23. 3%的季銨鹽溶液,加氯化鈉鹽析,過濾,千燥,得到C.L.熒光增白劑311。
該類結構的熒光增白劑還有很多,表1-2- 13為部分非離子和陰離子吡唑啉型熒光增白劑和表1 -2- 14為部分陽離子吡唑啉型熒光增白劑。
【本文標簽】:熒光增白劑
服務熱線:15211097632