來源:練達化工發布日期:2018-11-06閱讀:-
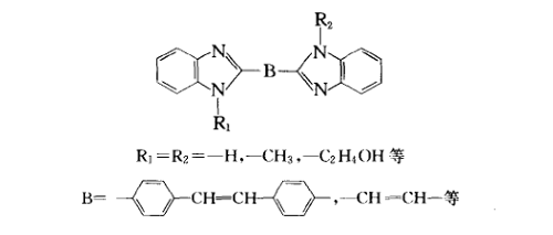
非季銨化型苯并咪唑類熒光增白劑的典型結構通式為:

它是用至少-一個雙鍵的共軛體系連接兩個苯并咪唑的化合物??捎糜陔婢]、滌綸、錦綸和棉的增白。
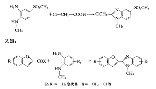
咪唑環是由羧基(或其酰氯、酯等)與鄰苯二胺(或其N-烷基化物,但不是N,N'-二取代物)縮合環化制得。例如:

如先合成2-氯甲基苯并咪唑,再引人苯并呋喃端基,可讓該氯甲基化合物與水楊醛縮合環化;或經由相應的席夫堿進行環化,形成一個連續的共軛體系。如:

咪唑環的1-甲基可用硫酸二甲酯或其他的甲基化試劑導人(堿催化)。如果由此形成的陰離子不適用(水溶性問題等),可用堿處理(如氫氧化鈉),分出形成的游離季銨堿,再用合適的酸中和。這類熒光增白劑對棉和錦綸有較好的增白效果。
【本文標簽】:熒光增白劑
服務熱線:15211097632