來源:練達化工發布日期:2018-12-12閱讀:-
此類聚合型熒光增白劑是以普通的二苯乙烯聯苯類熒光增白劑的基本結構為熒光單體,再加上其他的取代基而構成。
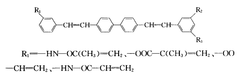
其基本結構為:

基團中含有雙鍵自聚又可以與其他含有雙鍵的化合物如甲基丙烯酸甲酯共聚,聚合度很高,可得到熒光單體含量達4%~30%的聚合物。R2、R3為烷基,為叔丁基時,可使分子在有機溶劑中有足夠大的溶解性。
結構為:

的聚合型熒光增白劑的合成:以2,2'-偶氮二異丁腈(AIBN)為引發劑,甲苯或DMF為溶劑,在70°C下熒光單體和甲基丙烯酸甲酯混合反應48h,冷卻后用95%的乙醇過濾沉淀,然后用甲苯溶液重沉淀,得到無定型產品,產率為84%。
該類熒光增白劑的較大吸收波長在350nm左右,較大發射波長:在425nm左右,有很好的熒光性能。
【本文標簽】:熒光增白劑
服務熱線:15211097632