來源:練達化工發布日期:2018-11-15閱讀:-
1,8-萘酰亞胺是由1,8-萘酐與胺類化合物經縮合反應制得,而1,8-萘酐又是由煤焦油中的苊經氧化制得。因苊在煤焦油中的含量為1. 2%~1.8% ,并且提煉和精制苊的生產工藝比較簡單,所以1,8 -萘酰亞胺類熒光增白劑的原料來源很充裕。1,8 -萘酰亞胺類熒光材料是近年來國際上研究非常活躍的一個領域。
1,8 -萘酰亞胺類熒光增白劑的結構通式如下:

這樣的分子結構基本上決定了它們的光譜吸收波長和熒光發射波長。當4位和5位的取代基不同時,對分子吸收波長和發射波長的影響比較明顯,向長波方向移動32~35nm,而酰胺基,上的脂肪取代基團對分子吸收波長和發射波長影響不大。所以這類熒光增白劑的吸收波長多數在365~389nm之間,熒光發射波長在438~440nm之間。這類熒光增白劑的合成路線有幾種,但起始原料都是苊。
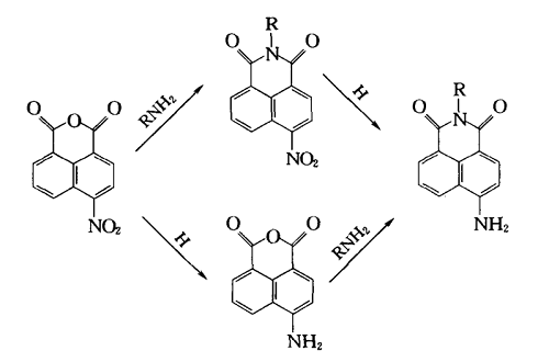
合成路線1:

反應式:


該方法的缺點是:硝化反應的副產物較多;氧化時的產率比較低,只有48% ;氧化劑鉻鹽的耗用量大。
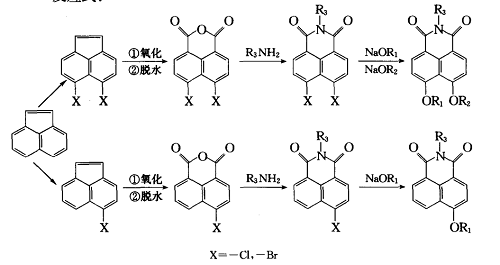
合成路線2:

反應式:

該方法反應容易,收率高,是一種理想的工藝路線。
在以上兩條基本合成路線的基礎上,通過下列反應也可獲得1,8 -萘酰亞胺類熒光增白劑。由于一-NO2和一-SO3H在親核取代反應中易離去的特性及酸酐的強吸電子性,該反應很容易進行。

如果將4-鹵代-1,8-萘酰亞胺在高溫、高壓及催化劑的作用下直接與氨氣反應,也可制得1,8 -萘酰亞胺類熒光增白劑。該方法的成本低、污染小,反應產率在90%以上。

1,8-萘酰亞胺的4位被烷氧基或芳基取代的熒光增白劑,還可以通過下述方法合成:

經過幾十年的研究與開發,以1,8-萘酰亞胺為母體的熒光增白劑商品,不僅有非離子型的還有陰離子型和陽離子型的,例如:

它們的合成與化合物Ultraphotor APL、Mikawhite AT相類似,只是在制備陽離子化合物時,多了一步氨基的季銨化反應。
【本文標簽】:熒光增白劑的合成
服務熱線:15211097632